como subtrair fracções com diferentes denominadores

0 Comments

Passo 1: Encontrar o menor denominador comum

encontrar o menor denominador comum (LCD) das fracções. O LCD é o múltiplo menos comum dos denominadores.

Passo 2: Encontrar a fracção equivalente

encontrar a fracção equivalente de cada fracção, de modo que todos tenham o LCD como denominador.

Passo 3: subtrair os novos numeradores

subtrair os novos numeradores e escrever o LCD como denominador.,

Passo 4: simplificar, se necessário,

reduzir a diferença para os seus termos mais baixos.

Exemplos de como para subtrair frações com denominadores diferentes

Q1) Encontrar a diferença dos seguintes conjuntos de frações:

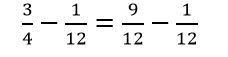
Expressar as frações com seus equivalentes, por isso, eles têm denominadores comuns usando o LCD.

subtrai os numeradores e anota o LCD como denominador.

verifique se a diferença já está reduzida aos seus termos mais baixos.,

Q2) Jonathan precisa cobrir 3/4 milha como parte de sua corrida diária. Se ele já percorreu 5/12 milhas, a que distância precisa de se cobrir para atingir a distância necessária?

queremos encontrar a diferença de 3/4 e 5/12 para determinar a distância restante.

expressa as fracções para que tenham 12 como denominador.

subtrai os numeradores para encontrar a diferença.

Simplifique para encontrar a resposta final.,

isto significa que Jonathan precisa de cobrir mais de 2/3 milhas para cumprir a sua exigência de prática.


Deixe uma resposta

O seu endereço de email não será publicado. Campos obrigatórios marcados com *